哈夫曼树

哈夫曼树又称最优二叉树,是一种带权路径长度最短的二叉树,常用于数据压缩中的哈夫曼编码。

基本概念

路径: 在树中,从一个节点到另一个节点之间的分支序列称为路径。

完全二叉树示意图
图 1.0

节点的权: 假设给某个节点赋予一个含有意义的数值,这个值就是节点的权,也称权值;

路径长度: 从根节点到某个节点经过的边的数量就是该节点的路径长度;

带权路径长度: 节点的权值 × 路径长度;

树的带权路径长度(WPL): 树中所有叶子节点的带权路径长度之和。WPL 最小的二叉树称为哈夫曼树。

构建示例

对于字符串 HEJJIKKEEGGG,统计各字符出现次数得到字符集 {H:1, J:1, I:2, K: 2, E:3, G: 3},以出现次数作为权值构建哈夫曼树。

字符权值统计:

字符 出现次数(权值)
H 1
J 1
I 2
K 2
E 3
G 3

构建过程:

树结构示意图
图 1.1 哈夫曼树构建过程

示例说明: 字符 I 的权值为 2,在哈夫曼树中从根节点到 I 的路径长度为 3,则 I 的带权路径长度 = 2 × 3 = 6

字符权值

根据字符集 {H:1, J:1, I:2, K:2, E:3, G:3} 构建哈夫曼树:

字符 权值
H 1
J 1
I 2
K 2
E 3
G 3
叶子节点的带权路径长度
节点 权值 深度 带权路径长度
H 1 3 3
J 1 3 3
I 2 3 6
K 2 3 6
E 3 2 6
G 3 2 6
计算结果
WPL = 1×3 + 1×3 + 2×3 + 2×3 + 3×2 + 3×2 = 30

哈夫曼编码

哈夫曼编码是一种前缀编码,采用变长编码方式,常用于数据压缩。

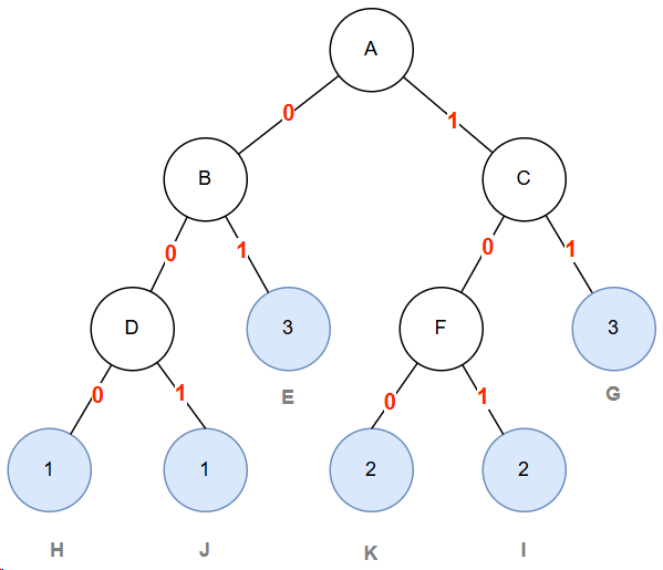
编码规则: 从根节点到叶子节点的路径上,左分支标记为 0,右分支标记为 1,将路径上的所有标记连接起来,即得到该字符的哈夫曼编码。

哈夫曼树编码示意图
图 1.2 哈夫曼编码树

哈夫曼编码表:

字符 权值 哈夫曼编码 码长
H 1 000 3
J 1 001 3
E 3 01 2
I 2 100 3
K 2 101 3
G 3 11 2
  • 示例: 根据字符串 HEJJIKKEEGGG,按上表用各字符的哈夫曼编码依次替换,可得出它的哈夫曼编码为:

000 01 001 001 100 101 101 01 01 11 11 11(去掉空格后的最终编码串)


代码实现(Java)

步骤:

  1. 统计频率
  2. 构建哈夫曼树
  3. 生成哈夫曼编码表(可选):生成哈夫曼编码表会占用大量的内存
    • 本文在编码和解码过程中采用 树 + 深度优先搜索(DFS)动态生成编码
  4. 编码
  5. 解码
// 构建节点对象
public class HuffmanNode implements Comparable<HuffmanNode> {
    Character character; // 叶子节点存字符,内部节点为 null
    int frequency;       // 使用原始类型,避免 Long 装箱
    HuffmanNode left;
    HuffmanNode right;

    public HuffmanNode(Character character, int frequency) {
        this.character = character;
        this.frequency = frequency;
    }

    @Override
    public String toString() {
        return "HuffmanNode{" +
                "character=" + character +
                ", frequency=" + frequency +
                '}';
    }

    @Override
    public int compareTo(HuffmanNode o) {
        return Integer.compare(this.frequency, o.frequency);
    }
}
// frequencyHuffman — 统计字符串中各字符的频率
public static Map<Character, Integer> frequencyHuffman(final String data) {
    if (data == null || data.isEmpty()) {
        return Map.of();
    }

    Map<Character, Integer> map = new HashMap<>();
    for (char c : data.toCharArray()) {
        map.merge(c, 1, Integer::sum);
    }
    return map;
}
// 构建哈夫曼树
public static HuffmanNode buildHuffmanTree(Map<Character, Integer> frequencyMap) {
    PriorityQueue<HuffmanNode> priorityQueue = new PriorityQueue<>();
    frequencyMap.forEach((ch, freq) -> priorityQueue.add(new HuffmanNode(ch, freq)));

    // 每次取出两个频率最小的节点,合并成一个新节点,直到队列中只剩下一个节点
    while (priorityQueue.size() > 1) {
        HuffmanNode left = priorityQueue.poll();
        HuffmanNode right = priorityQueue.poll();
        HuffmanNode parent = new HuffmanNode(null, left.frequency + right.frequency);
        parent.left = left;
        parent.right = right;
        priorityQueue.add(parent);
    }
    return priorityQueue.poll();
}
// 深度搜索:在哈夫曼树中查找目标字符对应的编码
public static String findCode(HuffmanNode node, char targetChar, String path) {
    if (node == null) {
        return null;
    }
    if (node.character != null && node.character == targetChar) {
        return path;
    }
    String leftPath = findCode(node.left, targetChar, path + "0");
    if (leftPath != null) {
        return leftPath;
    }
    return findCode(node.right, targetChar, path + "1");
}
// 编码:通过树 + DFS 动态生成编码(不显式保存编码表)
public static String huffmanEncode(String data, HuffmanNode root) {
    if (data == null || data.isEmpty() || root == null) {
        return "";
    }

    StringBuilder encodedData = new StringBuilder();
    for (char c : data.toCharArray()) {
        String code = findCode(root, c, "");
        if (code == null) {
            throw new IllegalArgumentException("Character not found in Huffman tree: " + c);
        }
        encodedData.append(code);
    }
    return encodedData.toString();
}
// 解码:沿哈夫曼树根据 0/1 路径还原原始数据
public static String huffmanDecode(String encodedData, HuffmanNode root) {
    if (encodedData == null || encodedData.isEmpty() || root == null) {
        return "";
    }

    StringBuilder decodedData = new StringBuilder();
    HuffmanNode current = root;
    for (char c : encodedData.toCharArray()) {
        if (c == '0') {
            current = current.left;
        } else if (c == '1') {
            current = current.right;
        } else {
            throw new IllegalArgumentException("Invalid bit in encoded data: " + c);
        }

        // 到达叶子节点,输出字符
        if (current.left == null && current.right == null) {
            decodedData.append(current.character);
            current = root; // 回到根节点继续解码
        }
    }
    return decodedData.toString();
}
public static void main(String[] args) {
    String data = "this is an example for huffman encoding";

    Map<Character, Integer> frequencyMap = frequencyHuffman(data);
    System.out.println("Character Frequencies: " + frequencyMap);

    System.out.println("example: " + data);

    HuffmanNode root = buildHuffmanTree(frequencyMap);
    System.out.println("Huffman Tree Root Frequency: " + root.frequency);

    String encodedData = huffmanEncode(data, root);
    System.out.println("Encoded Data: " + encodedData);

    String decodedData = huffmanDecode(encodedData, root);
    System.out.println("Decoded Data: " + decodedData);
}
最终输出结果
Character Frequencies: { =6, a=3, c=1, d=1, e=3, f=3, g=1, h=2, i=3, l=1, m=2, n=4, o=2, p=1, r=1, s=2, t=1, u=1, x=1}
example: this is an example for huffman encoding
Huffman Tree Root Frequency: 39
Encoded Data: 0000100011100001011111000010111100101111110110011110010100101011100011011111110101011010011100011000011011101010010010111111011011001100101000001100011101010
Decoded Data: this is an example for huffman encoding